
ISO 17034 Certified Reference Materials form the highest tier of metrologically traceable materials used in analytical chemistry. They provide well-characterized purity, stability, and uncertainty data essential for method validation, calibration, and long-term quality assurance. Within laboratories operating LC-MS/MS, GC-MS, and related chromatographic techniques, these materials help ensure that quantitative measurements remain consistent across instruments, analysts, and time. They also support regulatory compliance by enabling traceable results for residue monitoring programs in food, environmental matrices, and biological specimens.
WITEGA produces and distributes a defined portfolio of ISO 17034 Certified Reference Materials that meet the stringent requirements of the ISO 17034 standard, including accredited production processes, rigorous homogeneity assessment, and documented uncertainty budgets. These certified materials are typically used in proficiency testing, calibration curve preparation, spike-and-recovery testing, and verification of analytical system performance. Their role is critical in workflows where data comparability, defensibility, and reproducibility are essential to meet regulatory, scientific, and industrial expectations.
Showing 1–9 of 25 results
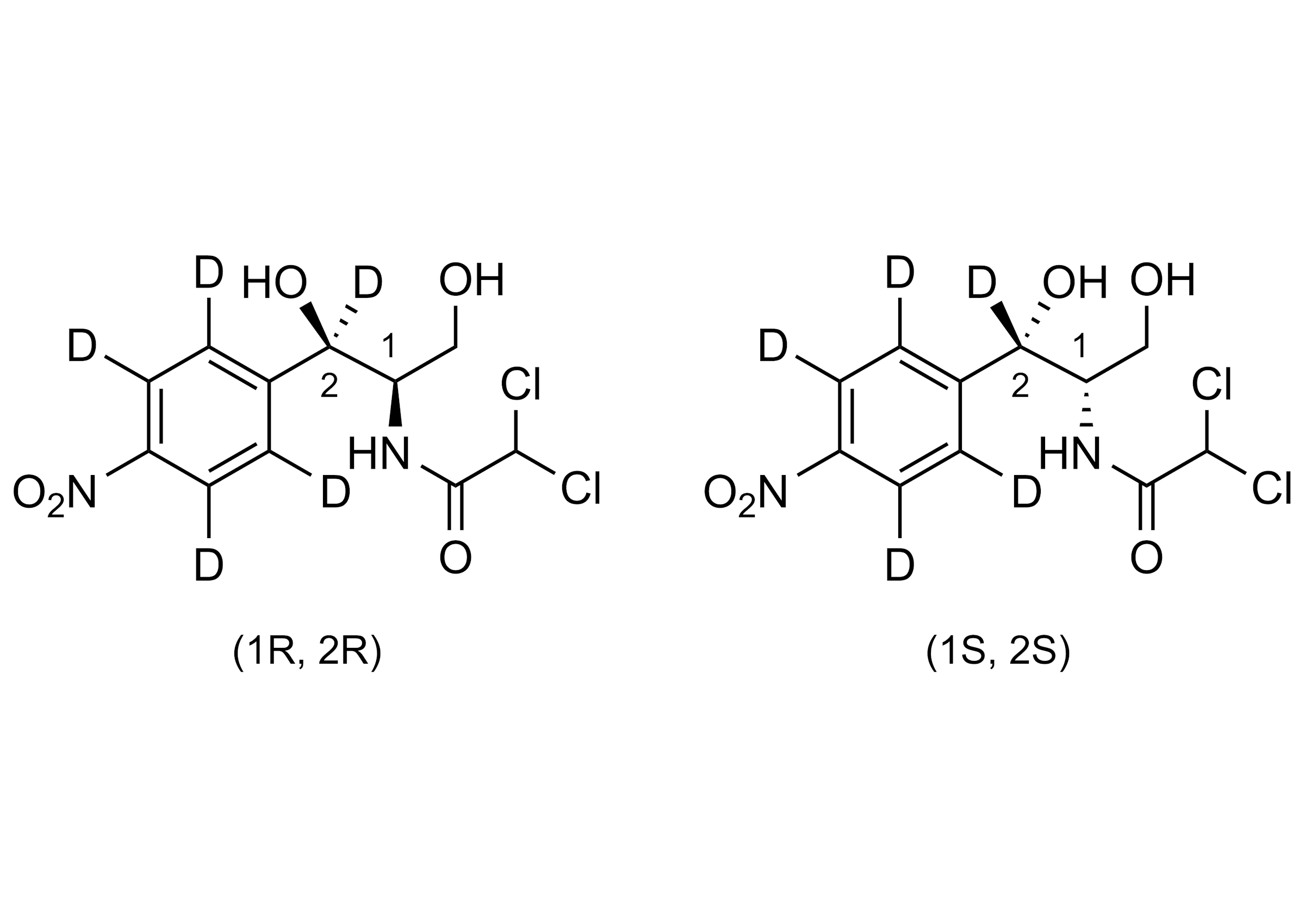
threo-Chloramphenicol-D5; 100 μg/ml in acetonitrile ISO 17034
CAS Reg. No.: not available (mixture of enantiomers)threo-Chloramphenicol; 100 μg/ml in acetonitrile ISO 17034
CAS Reg. No.: 2787-09-9 (mixture of enantiomers)2-NP-AHD ISO 17034 Reference Material
CAS Reg. No.: 623145-57-3









