You can search for names, part of names and CAS numbers.
Please select the appropriate search option and use the “Search” button.
Showing 10–18 of 18 results
-
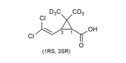
trans-Permethric acid-D6
metabolite of Per-methrin trans-DCCA-D6, Cypermethrin, CyfluthrinCAS Reg. No.: 2714486-16-3









